


Description
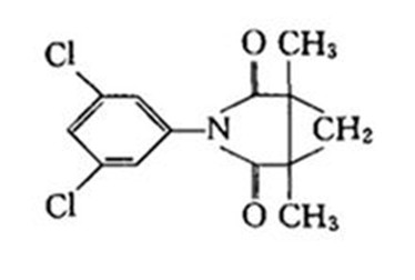
Procymidone (CAS No.32809-16-8) is a systemic fungicide with protective and curative properties. Absorbed through the roots, with translocation to leaves and flowers.
Procymidone Usage
Procymidone is used for controlling of Botrytis, Sclerotinia, Monilia, and Helminthosporium spp. on fruit(including top fruit, strawberries and raspberries), vines, vegetables (including tomatoes, peas and beans), ornamentals, cereals, sunflowers, oilseed rape, soya beans, peanuts, tobacco, etc. Usually applied at 0.5-1.0 kg/ha.
Procymidone Phytotoxicity
Non-phytotoxic when used as directed. Not to be applied to cyclamen after the bud sprouting stage.
Procymidone Packaging details
25KG for one bag or according to customers’ requirement
Procymidone applicable crops
Fruits, grapes, vegetables, tomatoes, peas, beans, Ornamentals, cereals, sunflowers, oilseed rape, soybeans, peanuts, tobacco.